电化学(中英文) ›› 2026, Vol. 32 ›› Issue (1): 2515006. doi: 10.61558/2993-074X.3586
周正元a, 孙雨涛b, 刘振邦c, 王传正a,b, 周永南a, 罗希a, 周天池b,d,*(
), 乔锦丽a,*(
)
收稿日期:2025-05-18
修回日期:2025-08-18
接受日期:2025-09-22
发布日期:2025-09-22
出版日期:2026-01-28
通讯作者:
周天池,乔锦丽
E-mail:zhoutianchi@ycit.edu.cn;qiaojl@dhu.edu.cn
Zheng-Yuan Zhoua, Yu-Tao Sunb, Zheng-Bang Liuc, Chuan-Zheng Wanga,b, Yong-Nan Zhoua, Xi Luoa, Tian-Chi Zhoub,d,*(
), Jin-Li Qiaoa,*(
)
Received:2025-05-18
Revised:2025-08-18
Accepted:2025-09-22
Online:2025-09-22
Published:2026-01-28
Contact:
Tian-Chi Zhou, Jin-Li Qiao
E-mail:zhoutianchi@ycit.edu.cn;qiaojl@dhu.edu.cn
摘要:
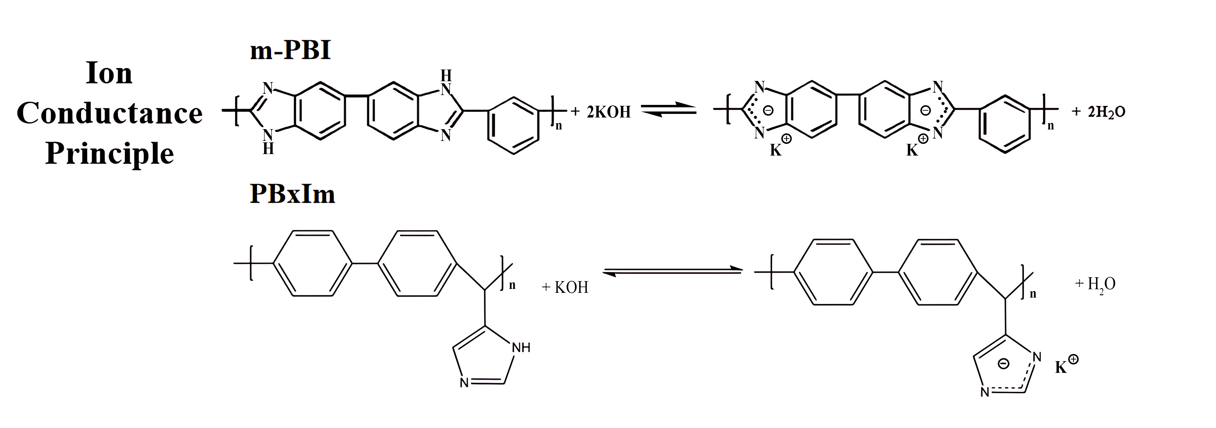
溶剂化离子交换膜近年来作为电化学能源转换与存储装置的核心组件,已获得学界广泛关注。本文从基质结构分类角度,系统梳理了离子交换膜的结构组成、性能优势、研究进展、离子传导机制及现存问题,并深入解析了性能优化方法、关键性能指标及影响因素。该研究为优化离子交换膜的设计应用提供理论支撑,为未来水电解制氢、电化学储能等领域的技术发展注入新动能。
周正元, 孙雨涛, 刘振邦, 王传正, 周永南, 罗希, 周天池, 乔锦丽. 电解水用溶剂化离子交换膜的研究现状及存在问题[J]. 电化学(中英文), 2026, 32(1): 2515006.
Zheng-Yuan Zhou, Yu-Tao Sun, Zheng-Bang Liu, Chuan-Zheng Wang, Yong-Nan Zhou, Xi Luo, Tian-Chi Zhou, Jin-Li Qiao. Development Status and Existing Problems of Ion-Solvation Membranes for Electrolysis of Water[J]. Journal of Electrochemistry, 2026, 32(1): 2515006.
| Electrolysis Technology | ALK | PEMWE | AEMWE | SOEC |
|---|---|---|---|---|
| Operating Temperature (℃) | 65~100 | 20~80 | 40~80 | 650~1000 |
| Operating Pressure (Mpa) | 0.2~1.0 | 1.5~3.0 | 0.1~3.5 | 0.1~1.0 |
| Electrolyte | 30%KOH | Proton exchange membrane | Polymer electrolyte | Yttria-stabilized zirconia |
| Electric Current Density (A∙cm-2) | 0.25~0.45 | 1.0~2.0 | — | 0.2~1.0 |
| Dc Energy Consumption(Kwh∙Nm-3) | 4.2~5.5 | 4.3~6 | 4.5~5.5 | 3.0~4.0 |
| Faraday Efficiency (%) | 62~82 | 67~84 | 69~75 | 90~99 |
| Technology Readiness Level (TRL) | Level 9 | Level 9 | Level 6 | Level 7~8 |
| Technical Advantage | •Low cost •High stability •High maturity •Long life No need for precious metal catalysts | •Higher efficiency •Operable under high voltage conditions •Operable under high current density conditions •Respond quickly Etc. | •Low ohmic resistance •Good gas separation property •No need for precious metal catalysts •Higher electrolysis efficiency Etc. | •Extremely high electrolysis efficiency •Low-cost catalyst •High operating temperature •Low operating costs Etc. |
| Technical disadvantage | •Lower current density •Corrosive electrolyte •Slow dynamic response •Sensitive to impurities in water Etc. | •High cost •Lower durability Etc. | •Low technological maturity •Poor long-term operational stability •Highly alkaline degradation Etc. | •Poor durability •High investment cost Etc. |
| Cost of Investment(¥/kW) | 3000~6000 | 8000~13000 | — | >16000 |
| Membrane | Concentration of KOH (wt.%) | Temperature (°C) | Conductivity (mS∙cm-1) |
|---|---|---|---|
| WSM1[ | 5 | 25 | 101.2 |
| 3FBP-Te[ | 5 | 80 | 19 |
| BD3/50EVOH[ | 5 | 80 | 161 |
| PBI-aNS[ | 5 | 80 | 490 |
| SPOBP-50[ | 15 | 25 | 49.47 |
| STz30[ | 15 | 80 | 92 |
| IP-5[ | 20 | 25 | 41 |
| m-PBI[ | 25 | 25 | 100 |
| PB4Im[ | 25 | 80 | 63 |
| POBP[ | 25 | 80 | 76 |
| mes-PBI[ | 25 | 80 | 88 |
| NPBI-BS47[ | 25 | 80 | 89 |
| NPBI[ | 25 | 80 | 100 |
| PBI-80[ | 20 | 80 | 110 |
| m-PBI[ | 25 | 80 | 148 |
| BN-BPI[ | 25 | 80 | 274.48 |
| Gel-NPBI[ | 25 | 80 | 350 |
| ISM-PBI-FG[ | 25 | 80 | 763 |
| PE10L5[ | 30 | 80 | 51.63 |
| Membrane | Temperature(°C) | Time(day) | Solvent | Decomposition situation | Retained conductivity |
|---|---|---|---|---|---|
| PB4Im[ | 20 | 120 | 25wt%KOH | Non-degradable | 45% |
| PE10L5 [ | 25 | 60 | 30wt%KOH | Non-degradable | - |
| ISM-PBI-FG[ | 25 | 125 | 25wt%KOH | Non-degradable | 91.6% |
| BD3/50EVOH[ | 70 | 13 | 5wt%KOH | Non-degradable | 96%-98% |
| PBI-80[ | 80 | 30 | 20wt%KOH | Non-degradable | 96%-98% |
| BN-BPI[ | 80 | 140 | 25wt%KOH | Non-degradable | 62.4% |
| PBI-aNS[ | 80 | 40 | 25wt%KOH | Non-degradable | 81% |
| NPBI-BS47[ | 80 | 40 | 45wt%KOH | Non-degradable | 89% |
| SPOBP-50[ | 80 | 150 | 45wt%NaOH | Non-degradable | 97.2% |
| m-PBI[ | 80 | 180 | ˂ 10wt%KOH | Non-degradable | - |
| NPBI[ | 80 | 195 | 25wt%KOH | Start to degrade | - |
| Gel-NPBI[ | 80 | 255 | 25wt%KOH | Non-degradable | - |
| POBP[ | 80 | 625 | 45wt%KOH | Non-degradable | No significant change |
| STz30[ | 85 | 155 | 25wt%KOH | Non-degradable | - |
| mes-PBI[ | 88 | 207 | 50wt%KOH | Non-degradable | - |
| [1] |
Wang Z D, Zhang Y, Zhang J X, Xu N N, Lu T, Zhuang B Y, Liu G C, Liang Y Z, Lei H, Tian B L, Qiao J L. Photo-enhanced Co single-atom catalyst with a staggered pn heterojunction: unraveling its high oxygen catalytic performance in zinc-air batteries and fuel cells[J]. Chin. J. Catal., 2025, 73: 311-321. https://doi.org/10.1016/S1872-2067(25)64704-8.
doi: 10.1016/S1872-2067(25)64704-8 URL |
| [2] | Bai G, Wang M, Peng L W, Li L L, Yu Y D, Li W Y, Yang N J, D I, Kolokolove, Qiao J L. Optimizing CO production in electrocatalytic CO2 Reduction via electron accumulation at Ni Sites in Ni3ZnC0.7/Ni on N-doped carbon nanofibers[J]. Green Energy Environ., in press. https://doi.org/10.1016/j.gee.2025.04.010. |
| [3] | Luo J, Zheng J J, Wu M J, Dong F, Liu Y Y, Qiao J L, Yang Y. Local microenvironment reactive zone engineering promotes water activation[J]. Mater. Rep. Energy, 2025, 5(2): 100327. https://doi.org/10.1016/j.matre.2025.100327. |
| [4] | Yollandaa N, Dedib R, Heriantoe M. E, Nirwan S, Addy R, Hawa Y. D, Nyimas F. S. Variation of membrane electrode assembly (MEA) catalyst layer in unitized regenerative fuel cell (URFC)[J]. J. Electrochem., 2025, 31(4): 4. https://doi.org/10.61558/2993-074X.3540. |
| [5] |
Yi X N, Lu T G, Li Y X, Ai Q, Hao R. Collaborative planning of multi-energy systems integrating complete hydrogen energy chain[J]. Renew. Sustain. Energy Rev., 2025, 210: 115147. https://doi.org/10.1016/j.rser.2024.115147.
doi: 10.1016/j.rser.2024.115147 URL |
| [6] | Du L J, Sun Y J, You B. Hybrid water electrolysis: Replacing oxygen evolution reaction for energy-efficient hydrogen production and beyond[J]. Mater. Rep. Energy, 2021, 1(1): 100004. https://doi.org/10.1016/j.matre.2020.12.001. |
| [7] | Cai L, Li N B, Li B B, Zhou T C, Zhou Z Y, Zhou Y N, Luo X, Zhao K Y, Lai Y K, Qiao J L. Enhanced hydroxide conductivity in zwitterionic polyacrylate-based anion exchange membranes via side-chain length optimization[J]. Green Energy Environ., in press. https://doi.org/10.1016/j.gee.2025.06.003. |
| [8] | Pan S Y, Ma Z L, Yang W Y, Dongyang B K, Yang H Z, Lai S M, Dong F F, Yang X X, Lin Z. Magnesium incorporation activates perovskite cobaltites toward efficient and stable electrocatalytic oxygen evolution[J]. Mater. Rep. Energy, 2023, 3(3): 100212. https://doi.org/10.1016/j.matre.2023.100212. |
| [9] | Li J, Tang C, Zhang H, Zou Z, Li C M. Mesoporous molybdenum carbide for greatly enhanced hydrogen evolution at high current density and its mechanism studies[J]. Mater. Rep. Energy, 2023, 3(3): 100215. https://doi.org/10.1016/j.matre.2023.100215. |
| [10] |
Shi K, Wan H Y, Wang K Y, Fang F M H, Li S Y, Wang Y X, Lei L F, Zhuang L Z, Xu Z. Self-sustaining alkaline seawater electrolysis via forward osmosis membranes[J]. Green Energy Environ., 2025, 10(3): 518-527. https://doi.org/10.1016/j.gee.2024.04.003.
doi: 10.1016/j.gee.2024.04.003 URL |
| [11] |
Zhao Y L, Yu Z P, Ge A M, Liu L J, Faria J L, Xu G Y, Zhu M F. Direct seawater splitting for hydrogen production: Recent advances in materials synthesis and technological innovation[J]. Green Energy Environ., 2025, 10(1): 11-33. https://doi.org/10.1016/j.gee.2024.02.001.
doi: 10.1016/j.gee.2024.02.001 URL |
| [12] |
Ayub M. N, Shahzad U, Rabbee M. F, Saeed M, Khan M. M. R, Rahman M. M. Recent advances on water electrolysis based on nanoscale inorganic metal-oxides and metal-oxyhydroxides for hydrogen energy production[J]. Int. J. Hydrogen Energy, 2025, 97: 307-327. https://doi.org/10.1016/j.ijhydene.2024.11.348.
doi: 10.1016/j.ijhydene.2024.11.348 URL |
| [13] |
Zheng K, Sun Z Y, Song Y, Zhang C, Zhang C Y, Chang F H, Yang D C, Fu X Q. Stochastic scenario generation methods for uncertainty in wind and photovoltaic power outputs: A comprehensive review[J]. Energies, 2025, 18(3): 503. https://doi.org/10.3390/en18030503.
doi: 10.3390/en18030503 URL |
| [14] | Yang Q, Tong X, Wang Z M. Progress in manipulating spin polarization for solar hydrogen production[J]. Mater. Rep. Energy, 2024, 4(1): 100253. https://doi.org/10.1016/j.matre.2024.100253. |
| [15] | Hao A H, Wan X, Liu X F, Yu R H, Shui J L. Inorganic microporous membranes for hydrogen separation: Challenges and solutions[J]. Nano Res. Energy, 2022, 1(2): e9120013-e9120013. https://doi.org/10.26599/NRE.2022.9120013. |
| [16] | Kim J. H, Jo H. J, Han S. M, Kim Y. J, Kim S. Y. Recent advances in electrocatalysts for anion exchange membrane water electrolysis: design strategies and characterization approaches[J]. Energy Mater., 2025, 5(8): 500099. https://doi.org/10.20517/energymater.2024.290. |
| [17] | Zhang Z, Song L J. Hydrogen production by water electrolysis: Advances, challenges and future prospects[J]. Chin. J. Eng., 2025, 47(2): 282-295. https://doi.org/10.13374/j.issn2095-9389.2024.06.03.004. |
| [18] |
Zakaria Z, Kamarudin S. K. A review of alkaline solid polymer membrane in the application of AEM electrolyzer[J]: Int. J. Energy Res., 2021, 45(13), 18337-18354. https://doi.org/10.1002/er.6983.
doi: 10.1002/er.v45.13 URL |
| [19] |
Janietz S, Brening T, Schiestel T, Götz T. Block copoly (phenylquinoxaline) s as potential ionomers for proton exchange membranes[J]. Polymer, 2023, 271: 125794. https://doi.org/10.1016/j.polymer.2023.125794.
doi: 10.1016/j.polymer.2023.125794 URL |
| [20] | Guo H, Zhang P, Huang S Y, Li M, Sun G X, Li J Y, Lin Y, Liu B, Pan Y. Achilles’ heel of single atom catalysts towards practical PEMFC application: Degradation mechanisms and regulatory strategies[J]. Nano Res. Energy, 2025, 4(1): e9120144.https://doi.org/10.26599/NRE.2024.9120144. |
| [21] |
Zhang Y, Gong B B, Zhou B J, Liu Z B, Xu N N, Wang Y X, Xu X Q, Cao Q, D I Kolokolov, Huang H T, Lou S F, Liu G C, Yang W, Qiao J L. Hydrophobicity engineering of hierarchically ordered SiO2/Fe-NC catalyst with optimized triple-phase boundary for boosting oxygen reduction reaction[J]. Nano Res. Energy. 2025, 4(3): e9120180. https://doi.org/10.26599/NRE.2025.9120180.
doi: 10.26599/NRE.2025.9120180 URL |
| [22] | Kim J, Seo J. H, Lee J. K, Oh M. H, Jang H. W. Challenges and strategies in catalysts design towards efficient and durable alkaline seawater electrolysis for green hydrogen production[J]. Energy Mater., 2025, 5(7): 500076. https://doi.org/10.20517/energymater.2024.220. |
| [23] | Xue W F, Shao M F. Alkaline water electrolysis for efficient hydrogen production[J]. J. Electrochem., 2022, 28(10): 4. https://doi.org/10.13208/j.electrochem.2214008. |
| [24] | Zhang H X, Wang X Y, Wang Y, Zhang Y, Zhang W J, You W. Alkaline-stable anion-exchange membranes with barium [2.2.2] cryptate cations: The importance of high binding constants[J]. Angew. Chem., 2023, 135(15): e202217742. https://doi.org/10.1002/ange.202217742. |
| [25] |
Zhou T C, Shao R, Chen S, He X M, Qiao J L, Zhang J J. A review of radiation-grafted polymer electrolyte membranes for alkaline polymer electrolyte membrane fuel cells[J]. J. Power Sources, 2015, 293: 946-975. https://doi.org/10.1016/j.jpowsour.2015.06.026.
doi: 10.1016/j.jpowsour.2015.06.026 URL |
| [26] |
Hu X, Huang Y D, Liu L, Ju Q, Zhou X X, Qiao X Q, Zheng Z F, Li N W. Piperidinium functionalized aryl ether-free polyaromatics as anion exchange membrane for water electrolysers: Performance and durability[J]. J. Membr. Sci., 2021, 621: 118964. https://doi.org/10.1016/j.memsci.2020.118964.
doi: 10.1016/j.memsci.2020.118964 URL |
| [27] |
Holmes T, Skalski T J, Adamski M, Holdcroft S. Stability of hydrocarbon fuel cell membranes: reaction of hydroxyl radicals with sulfonated phenylated polyphenylenes[J]. Chem. Mater., 2019, 31(4): 1441-1449. https://doi.org/10.1021/acs.chemmater.8b05302.
doi: 10.1021/acs.chemmater.8b05302 URL |
| [28] | Lu Q C, Yan X P, Guo W Q, Li G S, Wang J Y, Jiang N, Wang X L, Ba T, Liu P, Zhou J N, Wang J, Hu L, Zhou T Y, Huang R L, Hu B, Zhang K X, Ren Z B. Research progress on alkaline anion exchange membranes (AEMs) for the application of hydrogen production by water electrolysis[J]. Nano Res., 2025, 18(3): 94907252. https://doi.org/10.26599/NR.2025.94907252. |
| [29] | Yu J, Dai Y W, He Q J, Zhao D Q, Shao Z P, Ni M. A mini-review of noble-metal-free electrocatalysts for overall water splitting in non-alkaline electrolytes[J]. Mater. Rep. Energy, 2021, 1(2): 100024. https://doi.org/10.1016/j.matre.2021.100024. |
| [30] | Xu H F, Yan X Q, Li X, Li W. The dissolution of perfluorinated proton exchange membrane and the analysis on the performance of the recast membrane[J]. J. Electrochem., 2001, 7(3): 7. https://doi.org/10.61558/2993-074X.1431. |
| [31] |
Paidar M, Fateev V, Bouzek K. Membrane electrolysis history, current status and perspective[J]. Electrochim. Acta, 2016, 209: 737-756. https://doi.org/10.1016/j.electacta.2016.05.209.
doi: 10.1016/j.electacta.2016.05.209 URL |
| [32] |
Wang X T, Li Z H, Zhang M L, Fan T T, Cheng B W. Preparation of a polyphenylene sulfide membrane from a ternary polymer/solvent/non-solvent system by thermally induced phase separation[J]. RSC Adv., 2017, 7(17): 10503-10516. https://doi.org/10.1039/C6RA28762J.
doi: 10.1039/C6RA28762J URL |
| [33] |
Zheng X X, Böttger A. J, Jansen K. M. B, Van Turnhout J, Van Kranendonk J. Aging of polyphenylene sulfide-glass composite and polysulfone in highly oxidative and strong alkaline environments[J]. Front. Mater., 2020, 7: 610440. https://doi.org/10.3389/fmats.2020.610440.
doi: 10.3389/fmats.2020.610440 URL |
| [34] |
Otero J Sese, J Michaus, I Santa Maria, M Guelbenzu, E Irusta, S Carrilero, I Arruebo, M. Sulphonated polyether ether ketone diaphragms used in commercial scale alkaline water electrolysis[J]. J. Power Sources, 2014, 247: 967-974. https://doi.org/10.1016/j.jpowsour.2013.09.062.
doi: 10.1016/j.jpowsour.2013.09.062 URL |
| [35] |
Wu Y T, Xu G Q, Zhou J B, Cao D P. Research progress of the porous membranes in alkaline water electrolysis for green hydrogen production[J]. Chem. Eng. J., 2025, 505: 159291. https://doi.org/10.1016/j.cej.2025.159291.
doi: 10.1016/j.cej.2025.159291 URL |
| [36] |
Liu L P, Wang J, Yang G J, Wang S Y, Wang J Y, Ren Z B, Guo W Q, Liu P. High-performance composite separator with a porous bicontinuous structure for alkaline water electrolysis[J]. ACS omega, 2025, 10(9): 9007-9017. https://doi.org/10.1021/acsomega.4c07167.
doi: 10.1021/acsomega.4c07167 URL |
| [37] |
Li D G, Motz A. R, Bae C, Fujimoto C, Yang G Q, Zhang F Y, Ayers K, E Kim, Y. S. Durability of anion exchange membrane water electrolyzers[J]. Energy Environ. Sci., 2021, 14(6): 3393-3419. https://doi.org/10.1039/D0EE04086J.
doi: 10.1039/D0EE04086J URL |
| [38] |
Alam A, Park C, Lee J, Ju H. Comparative analysis of performance of alkaline water electrolyzer by using porous separator and ion-solvating polybenzimidazole membrane[J]. Renew. Energy, 2020, 166: 222-233. https://doi.org/10.1016/j.renene.2020.11.151.
doi: 10.1016/j.renene.2020.11.151 URL |
| [39] | Kraglund M. R, Aili D, Jankova K, Christensen E, Li Q, Jensen J. O. Zero-gap alkaline water electrolysis using ion-solvating polymer electrolyte membranes at reduced KOH concentrations[J]. J. Electrochem. Soc., 2016, 163(11): F3125. https://doi.org/10.1149/2.0161611jes. |
| [40] |
Jensen J O, Aili D, Hansen M K, Li Q, Bjerrum N J, Christensen E. A stability study of alkali doped PBI membranes for alkaline electrolyzer cells[J]. ECS Trans., 2014, 64(3): 1175. https://doi.org/10.1149/06403.1175ecst.
doi: 10.1149/06403.1175ecst URL |
| [41] |
Kraglund M. R, Carmo M, Schiller G, Ansar S. A, Aili D, Christensen E, Jensen J. O. Ion-solvating membranes as a new approach towards high rate alkaline electrolyzers[J]. Energy Environ. Sci., 2019, 12(11): 3313-3318. https://doi.org/10.1039/C9EE00832B.
doi: 10.1039/C9EE00832B URL |
| [42] |
Merle G, Wessling M, Nijmeijer K. Anion exchange membranes for alkaline fuel cells: A review[J]. J. Membr. Sci., 2011, 377(1-2): 1-35. https://doi.org/10.1016/j.memsci.2011.04.043.
doi: 10.1016/j.memsci.2011.04.043 URL |
| [43] | Miller H. A, Bouzek K, Hnat J, Loos S, Bernäcker C, I Weißgärber, T Röntzsch, L Meier-Haack, J. Green hydrogen from anion exchange membrane water electrolysis: a review of recent developments in critical materials and operating conditions[J]. Sust. Energy Fuels, 2020, 4, 2114-2133. https://doi.org/10.1039/C9SE01240K. |
| [44] | Hu X, Hu B, Niu C Y, Yao J, Liu M, Tao H B, HuangY D, Kang S Y, Geng K, Li N W. An operationally broadened alkaline water electrolyser enabled by highly stable poly (oxindole biphenylene) ion-solvating membranes[J]. Nat. Energy, 2024, 9(4): 401-410. https://doi.org/10.1038/s41560-023-01447-w. |
| [45] |
You W, Noonan K J, Coates G W. Alkaline-stable anion exchange membranes: A review of synthetic approaches[J]. Prog. Polym. Sci., 2020, 100: 101177. https://doi.org/10.1016/j.progpolymsci.2019.101177.
doi: 10.1016/j.progpolymsci.2019.101177 URL |
| [46] | Babic U, Suermann M, Büchi F N, Gubler L, Schmidt T J. Critical review—identifying critical gaps for polymer electrolyte water electrolysis development[J]. J. Electrochem. Soc., 2017, 164(4): F387. https://doi.org/10.1149/2.1441704jes. |
| [47] |
Arges C G, Zhang L. Anion exchange membranes evolution towards high hydroxide ion conductivity and alkaline resiliency[J]. ACS Appl. Energy Mater., 2018, 1: 2991-3012. https://doi.org/10.1021/acsaem.8b00387.
doi: 10.1021/acsaem.8b00387 URL |
| [48] |
Hu B, Huang Y D, Liu L, Hu X, Geng K, Ju Q, Liu M, Bi J C, Luo S J, Li N W. A stable ion-solvating PBI electrolyte enabled by sterically bulky naphthalene for alkaline water electrolysis[J]. J. Membr. Sci., 2022, 643: 120042. https://doi.org/10.1016/j.memsci.2021.120042.
doi: 10.1016/j.memsci.2021.120042 URL |
| [49] |
Diaz L A, Coppola R E, Abuin G C, Escudero-Cid R, Herranz D, Ocón P. Alkali-doped polyvinyl alcohol-Polybenzimidazole membranes for alkaline water electrolysis[J]. J. Membr. Sci., 2017, 535: 45-55. https://doi.org/10.1016/j.memsci.2017.04.021.
doi: 10.1016/j.memsci.2017.04.021 URL |
| [50] |
Liu M, Geng K, Huang Y D, Hu B, Li H J, Niu C Y, Li N W. A high performance ion-solvating membrane-type direct ammonia fuel cell[J]. J. Membr. Sci., 2024, 692: 122222. https://doi.org/10.1016/j.memsci.2023.122222.
doi: 10.1016/j.memsci.2023.122222 URL |
| [51] |
Aili D, Jankova K, Han J, Bjerrum N J, Jensen O, Li Q. Understanding ternary poly(potassium benzimidazolide)-based polymer electrolytes[J]. Polymer, 2016, 84: 304-310. https://doi.org/10.1016/j.polymer.2016.01.011.
doi: 10.1016/j.polymer.2016.01.011 URL |
| [52] |
Chen Q H, Huang Y D, Hu X, Hu B, Liu M, Bi J C, Liu L, Li N W. A novel ion-solvating polymer electrolyte based on imidazole-containing polymers for alkaline water electrolysis[J]. J. Membr. Sci., 2023, 668: 121186. https://doi.org/10.1016/j.memsci.2022.121186.
doi: 10.1016/j.memsci.2022.121186 URL |
| [53] |
Aili D, Jankova K, Li Q, Bjerrum N J, Jensen J O. The stability of poly (2, 2′-(m-phenylene)-5, 5′-bibenzimidazole) membranes in aqueous potassium hydroxide[J]. J. Membr. Sci., 2015, 492: 422-429. https://doi.org/10.1016/j.memsci.2015.06.001.
doi: 10.1016/j.memsci.2015.06.001 URL |
| [54] | Chen Y H, Li S H. Super-stable ionic solvation membrane: A new opportunity for alkaline water electrolysis[J]. Innov. Mater., 2024, 2(2): 100063. https://doi.org/10.59717/j.xinn-mater.2024.100063. |
| [55] | Lin B C, Dong H L, Li Y Y, Si Z H, Gu F L, Yan F. Alkaline stable C2-substituted imidazolium-based anion-exchange membranes[J]. Ind. Chem. Mater., 2013, 25(9): 1858-1867. https://doi.org/10.1021/cm400468u. |
| [56] |
Wang Y X, Guo T G, Chao G, Yang E R, Gao R F, Zhou X W, Yao J, Liu L, Li N W. Stable sulfonated poly (oxindole biphenylene) as ion-solvating membranes toward durable alkaline zinc-iron redox flow battery[J]. J. Membr. Sci., 2025, 717: 123619. https://doi.org/10.1016/j.memsci.2024.123619.
doi: 10.1016/j.memsci.2024.123619 URL |
| [57] |
Jung J, Park Y S, Hwang D J, Choi G H, Choi D H, Park H J, Ahn C, Lee A S. Polydiallylammonium interpenetrating cationic network ion-solvating membranes for anion exchange membrane water electrolyzers[J]. J. Mater. Chem. A, 2023, 11(20): 10891-0900. https://doi.org/10.1039/D3TA01511D.
doi: 10.1039/D3TA01511D URL |
| [58] | Xia Y F, Rajappan S C, Chen S, Kraglund M R, Serhiichuk D, Pan D, Jensen O, Aili D. Poly(arylene alkylene)s with tetrazole pendants for alkaline ion-solvating polymer electrolytes[J]. ChemSusChem, 2024, 17: e202400844. https://doi.org/10.1002/cssc.202400844. |
| [59] |
Xiao W, Luo X, Zhou Y N, Meng J J, Wang M, Liu Y Y, Qiao J L. Poly(vinyl alcohol)/poly(ethylene glycol) ion-solvating membrane with NiFe-LDH for high-performance alkaline water electrolysis[J]. Separation Purif. Technol., 2025, 366: 132769. https://doi.org/10.1016/j.seppur.2025.132769.
doi: 10.1016/j.seppur.2025.132769 URL |
| [60] |
Liu Q L, Tang T, Tian Z Y, Ding S W, Wang L Q, Chen D X, Wang Z W, Zheng W T, Lee H, Lu X Y, Miao X H, Liu L, Sun L C. A high-performance watermelon skin ion-solvating membrane for electrochemical CO2 reduction[J]. Nat. Commun., 2024, 15(1): 6722. https://doi.org/10.1038/s41467-024-51139-6.
doi: 10.1038/s41467-024-51139-6 URL |
| [61] |
Makrygianni M, Aivali S, Xia Y F, Kraglund M R, Aili D, Deimede V. Polyisatin derived ion-solvating blend membranes for alkaline water electrolysis[J]. J. Membr. Sci., 2023, 669: 121331. https://doi.org/10.1016/j.memsci.2022.121331.
doi: 10.1016/j.memsci.2022.121331 URL |
| [62] | Xia Y F, Sara B A, Rajappan S C, Serhiichuk D, Kraglund M R, Jensen J O, Deimede V, Aili D. Macromolecular reinforcement of alkaline ion-solvating polymer electrolytes[J]. Polymer, 2024 302: 127068. https://doi.org/10.1016/j.polymer.2024.127068. |
| [63] |
Aili D, Wright A. G, Kraglund M. R, Jankova K, Holdcroft S, Jensen J. O. Towards a stable ion-solvating polymer electrolyte for advanced alkaline water electrolysis[J]. J. Mater. Chem. A, 2017, 5(10): 5055-5066. https://doi.org/10.1039/C6TA10680C.
doi: 10.1039/C6TA10680C URL |
| [64] |
Gao R F, Wang Y X, Liu M, Hu B, Yang E R, Zhou X W, Chen L, Huang Y D, Yao J, Zhang Q Y, Li N W. Optimization of alkaline water electrolysis performance with binaphthyl-derived polybenzimidazole ion-solvating gel membrane[J]. J. Membr. Sci., 2025, 713: 123350. https://doi.org/10.1016/j.memsci.2024.123350.
doi: 10.1016/j.memsci.2024.123350 URL |
| [65] |
Hu X, Liu M, Huang Y D, Liu L, Li N W. Sulfonate-functionalized polybenzimidazole as ion-solvating membrane toward high-performance alkaline water electrolysis[J]. J. Membr. Sci., 2022, 663: 121005. https://doi.org/10.1016/j.memsci.2022.121005.
doi: 10.1016/j.memsci.2022.121005 URL |
| [66] | Liu M, Gao R F, Geng K, Huang Y, Zhou X W, Yao J, Hu B, Li H J, Xue B X, Li N W. Highly durable alkaline water electrolyzer with branched poly(oxindole biphenylene) ion-solvating membrane[J]. Chem. Catal., 2025, 5(3): 101199. https://doi.org/10.1016/j.checat.2024.101199. |
| [67] |
Serhiichuk D, Rajappan S C, Krishnan Y, Xia Y F, Kraglund M R, Hansen H A, Jensen J O, Aili D. Tetrazole functionalization: a new strategy toward stable alkaline ion-solvating polymer electrolytes[J]. J. Mater. Chem. A, 2024, 12(47): 32697-32702. https://doi.org/10.1039/D4TA06255H.
doi: 10.1039/D4TA06255H URL |
| [68] |
Dayan A, Trisno M L A, Yang C, Kraglund M R, Almind M R, Hjelm J, Jensen J O, Aili D, Park H S, Henkensmeier D. Quaternary ammonium‐free membranes for water electrolysis with 1 m KOH[J]. Adv. Energy Mater., 2023, 13(46): 2302966.https://doi.org/10.1002/aenm.202302966.
doi: 10.1002/aenm.v13.46 URL |
| [69] |
Hu B, Li Z Y, Liu L, Liu M, Huang Y D, Guo T G, Zhang R, Geng K, Li N W. Highly ion conductive ion solvating membranes for durable alkaline water electrolysis at low temperature and voltage[J]. J. Mater. Chem. A, 2024, 12(31): 20449-20458. https://doi.org/10.1039/D4TA02511C.
doi: 10.1039/D4TA02511C URL |
| [70] |
Huang Z Q, Zhu D Y, Benicewicz B C, Zhu T Y, Liang J Z, Zhu T Z, Zhang L, Liu M J, Gao C J, Huang F, Xue L X. Anisotropic polybenzimidazole ion-solvating membranes composed of aligned nano-sheets for efficient acid-alkaline amphoteric water electrolysis[J]. Adv. Energy Mater., 2024, 14(11): 2303481. https://doi.org/10.1002/aenm.202303481.
doi: 10.1002/aenm.v14.11 URL |
| [71] |
Huang Z Q, Zhu D Y, Ma M J, Zhao B, Liang J Z, Zhang L, Chen C, Liu M J, Gao C J, Huang F, Xue L X. Highly efficient and durable water electrolysis at high KOH concentration enabled by cationic group-free ion solvating membranes in free-standing gel form[J]. Small, 2025, 21(4): 2408159. https://doi.org/10.1002/smll.202408159.
doi: 10.1002/smll.v21.4 URL |
| [72] |
Beattie P D, Orfino F P, Basura V I, Zychowska K, Ding J, Chuy C, Schmeisser J, Holdcroft S. Ionic conductivity of proton exchange membranes[J]. J. Electroanal. Chem., 2001, 503(1-2): 45-56. https://doi.org/10.1016/S0022-0728(01)00355-2.
doi: 10.1016/S0022-0728(01)00355-2 URL |
| [73] |
Narducci R, Chailan J F, Fahs A, Pasquini L, Di Vona M L, Knauth P. Mechanical properties of anion exchange membranes by combination of tensile stress-strain tests and dynamic mechanical analysis[J]. J. Polym. Sci. B: Polym. Phys., 2016, 54(12): 1180-1187. https://doi.org/10.1002/polb.24025.
doi: 10.1002/polb.24025 URL |
| [74] |
Banham D, Ye S, Pei K, Ozaki J I, Kishimoto T, Imashiro Y. A review of the stability and durability of non-precious metal catalysts for the oxygen reduction reaction in proton exchange membrane fuel cells[J]. J. Power Sources, 2015, 285: 334-348. https://doi.org/10.1016/j.jpowsour.2015.03.047.
doi: 10.1016/j.jpowsour.2015.03.047 URL |
| [75] |
Jeong K I, Oh J, Song S A, Lee D, Lee D G, Kim S S. A review of composite bipolar plates in proton exchange membrane fuel cells: Electrical properties and gas permeability[J]. Compos. Struct., 2021, 262: 113617. https://doi.org/10.1016/j.compstruct.2021.113617.
doi: 10.1016/j.compstruct.2021.113617 URL |
| [76] |
Chu H S, Yeh C, Chen F. Effects of porosity change of gas diffuser on performance of proton exchange membrane fuel cell[J]. J. Power Sources, 2003, 123(1): 1-9. https://doi.org/10.1016/S0378-7753(02)00605-5.
doi: 10.1016/S0378-7753(02)00605-5 URL |
| [77] |
Nassehi V, Das D B, Shigidi I M, Wakeman R J. Numerical analyses of bubble point tests used for membrane characterisation: model development and experimental validation[J]. Asia-Pac. J. Chem. Eng., 2011, 6(6): 850-862. https://doi.org/10.1002/apj.519.
doi: 10.1002/apj.v6.6 URL |
| [78] | Jarosch D, Warren J J, Kapischke J. Experimental investigation into the functionality of alkaline water electrolysis with ion-solvating membrane in anode feed mode using diluted potassium hydroxide[J]. Heliyon, 2025, 11: e42075. https://doi.org/10.1016/j.heliyon.2025.e42075. |
| [79] | Chen S Q, Wei X Z, Zhang G X, Wang X Y, Zhu J G, Feng X N, Dai H F, Ouyang M G. All-temperature area battery application mechanism, performance, and strategies[J]. Innovation, 2023, 4(4): 100465. https://doi.org/10.1016/j.xinn.2023.100465. |
| [1] | 熊海燕, 朱振啸, 高鑫, 范晨铭, 栾辉宝, 李冰. 利用膨胀网作为双极板流道结构优化碱性水电解槽[J]. 电化学(中英文), 2024, 30(9): 2312281-. |
| [2] | 梁宵, 张可新, 沈雨澄, 孙轲, 石磊, 陈辉, 郑克岩, 邹晓新. 钙钛矿型水氧化电催化剂[J]. 电化学(中英文), 2022, 28(9): 2214004-. |
| [3] | 李宏, 蔡文斌. 能源与电催化的碰撞—第一届能源电催化青年科学家论坛会议评述[J]. 电化学(中英文), 2018, 24(2): 194-196. |
| [4] | 黄金昭, 徐征, 李海玲, 亢国虎, 王文静, . 氧化铁镍电极上析氧反应的电化学研究(英文)[J]. 电化学(中英文), 2006, 12(2): 154-158. |
| 阅读次数 | ||||||
|
全文 |
|
|||||
|
摘要 |
|
|||||