电解水用溶剂化离子交换膜的研究现状及存在问题
周正元, 孙雨涛, 刘振邦, 王传正, 周永南, 罗希, 周天池, 乔锦丽

Development Status and Existing Problems of Ion-Solvation Membranes for Electrolysis of Water
Zheng-Yuan Zhou, Yu-Tao Sun, Zheng-Bang Liu, Chuan-Zheng Wang, Yong-Nan Zhou, Xi Luo, Tian-Chi Zhou, Jin-Li Qiao
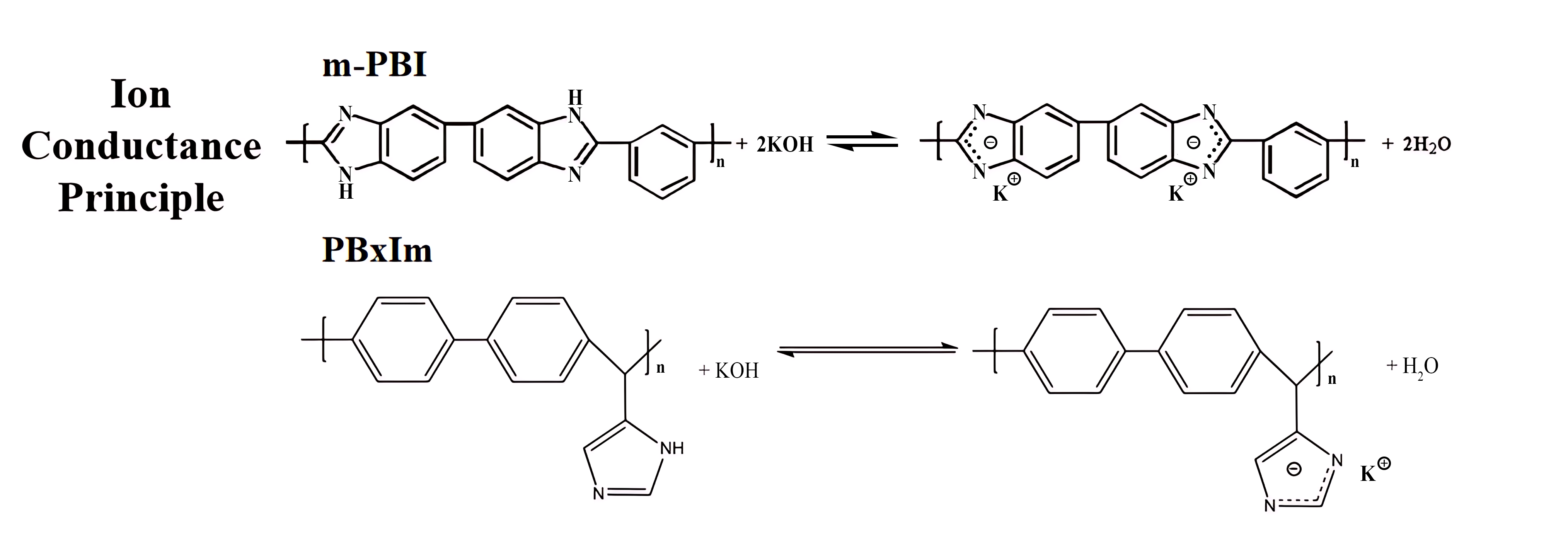
Fig. 5. Ion conductance principle diagram of the m-PBI and PBxIm ISMs. Reproduced with permission of Ref. [48], Copyright 2022, Elsevier. Reproduced with permission of Ref.[52]. Copyright 2023, Elsevier.