非酶电化学传感器检测茶碱的最新进展
Gustria Ernis, Yulia M T A Putri, Muhammad Iqbal Syauqi, Prastika Krisma Jiwanti, Yeni Wahyuni Hartati, Takeshi Kondo, Qonita Kurnia Anjani, Jarnuzi Gunlazuardi

Recent Advances in Non-Enzymatic Electrochemical Sensors for Theophylline Detection
Ernis Gustria, Putri Yulia M T A, Syauqi Muhammad Iqbal, Jiwanti Prastika Krisma, Hartati Yeni Wahyuni, Kondo Takeshi, Anjani Qonita Kurnia, Gunlazuardi Jarnuzi
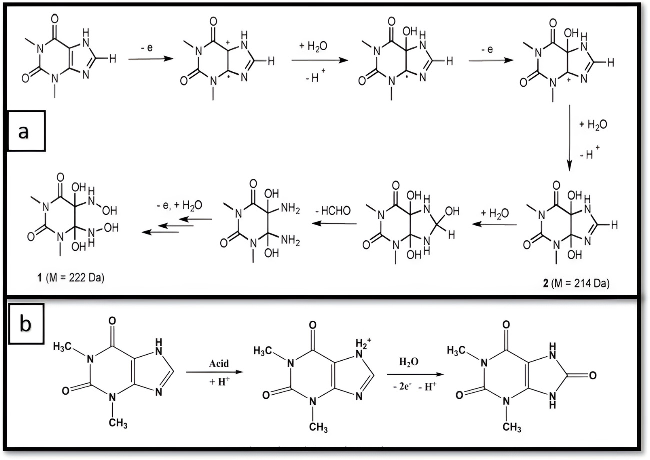
Scheme 1. a). The potential mechanism for the TP oxidation reaction via the hydroxyl pathway. Adapted with permission from Ref. [58]; b). The potential mechanism for the TP oxidation reaction via the carbonyl pathway. Reproduced with permission of Ref. [49]. Copyright 2024, Elsevier.