长春应化所金属氮碳氧还原催化剂的研究进展 |
| 徐明俊, 刘杰, 葛君杰, 刘长鹏, 邢巍 |
|
Research Progress of Metal-Nitrogen-Carbon Catalysts toward Oxygen Reduction Reaction inm Changchun Institute of Applied Chemistry |
| XU Ming-jun, LIU Jie, GE Jun-jie, LIU Chang-peng, XING Wei |
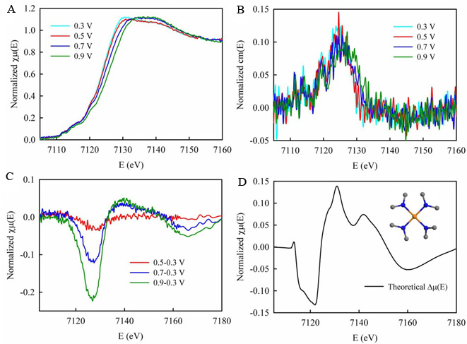
| 图2 (A) 原位XANES;(B) 伴随的一阶导数图;(C) 在0.3 ~ 0.9 V的条件下,室温下在O2/N2饱和的0.1 mol·L-1 HClO4中的同一电极上收集的Fe-NC-950的Δμ-XANES;(D) 使用结构模型(Fe-N4-C8)通过FEF9计算获得的理论Δμ-XANES[ |
| Fig. 2 (A) In situ XANES, (B) concomitant first derivatives and (C) Δμ-XANES of the Fe-N-C-950 collected at 0.3 ~ 0.9 V on the same electrode in O2/N2-saturated 0.1 mol·L-1 HClO4 at room temperature, (D) theoretical Δμ-XANES obtained by FEF9 calculations using the structural model (Fe-N4-C8) (the inset)[ |
|